Рассмотрим сигнал – последовательность чисел x=
.
Для сглаживания сигнала, подавления шума и других целей часто используют
фильтры – преобразования свертки вида:
Сигнал y=
получается “локальным усреднением” сигнала x с помощью набора
“весов”
:

В дальнейшем нам понадобятся следующие понятия.
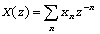
(1.1)
или
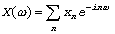
(1.1')
(если сигнал конечен, его обычно доопределяют периодическим образом для
всех целых значений индекса).